Happy to share the pre-publication version of this paper just accepted at Marketing Science entitled “How support for Black Lives Matter impacts consumer responses on social media” coauthored with Marco Qin, Xueming Luo, and Eric (Yu) Kou (PhD student)
In this paper, we show that online support for the BLM movement is associated with decreased follower growth when many firms are concurrently expressing the same support (bandwagon effect). We further leverage the Blackout Tuesday event to show that brand participation in widespread online racial justice activism events can decrease follower growth by an average of 60%. However these negative receptivity effects can be significantly mitigated by customers’ Democratic lean, brands’ prior pro-social messaging on social media, avoidance of concurrent commercial social media messaging, pro-sociality of brands’ mission statements, and concurrent donations to support BLM (for brands with Democratic customers).
Which brands’ Blackout Tuesday participation is better/worse received?
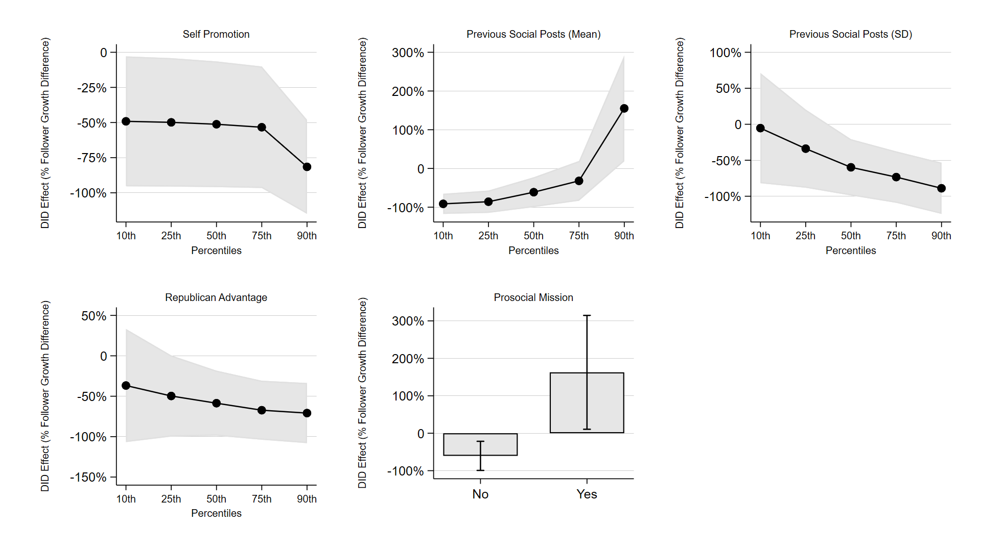
We summarize several moderating effects of brands’ online and offline tactics and strategies with the figure below. It appears:
- Any kind of concurrent self-promotion is associated with worse receptivity of the brand’s Blackout Tuesday participation.
- A high level of prior pro sociality in social media content can completely reverse the negative receptivity effects.
- While brands with Democratic customers tend to be better received during their Blackout Tuesday participation, this moderating effect does entirely reverse the negative receptivity.
- Brands with prosocial missions were able to reverse the negative receptivity effects. We believe this is due to customers’ perception of the brand’s authentic commitment to being a good citizen and the brand’s prior history of offline prosocial commitments.
All in all, it appears that the only real way to avoid negative social media receptivity and the bandwagon effect when participating in widespread corporate racial justice advocacy is to have established a consistent history of online and offline corporate prosocial behavior.

We use several DID / DID-adjacent causal inference approaches.
- We study all platform x day x brand BLM support effects accounting for brand-date, brand-platform, and platform-date fixed effects. The causal assumption is that, in the absence of BLM support, the brand-specific differences in follower growth between Twitter and Instagram is constant (like parallel-trends). We use this analysis to explore the moderating role of concurrent support of BLM from other brands, i.e. the bandwagon effect.
- We use Blackout Tuesday as a treatment event in a traditional DID analysis for participating brands where platform choice for BLM is restricted to Instagram and the “control” group is the same brand’s Twitter follower changes. We use this specification to study tactical and strategic moderators (like prior history of pro-social messaging).
- We do additional robustness checks for the DID analysis with the following control groups:
- 2019 same-brand Instagram
- DDD with 2020 vs. 2019 same-brand IG vs. Twitter follower changes.
- Inverse probability of treatment weighted (IPTW) non-participating brands’ on IG.
Machine learning for text analysis
In order to classify 100’s of thousands of posts for prosocial and commercial content, we use 2 different machine learning approaches.
- Seeded LDA. After manually labeling 4000 posts for prosocial content, we uncovered several broad categories of prosocial (e.g., racial justice, LGBTQ, environment, etc.) and commercial posts (branding or product promotion posts). We use keywords that informed the categorizations as seed words for LDA to “guide” the topic model towards the useful categories from the smaller sample.
- We use a deep learning approach where word embedding sequences are fed into BiLSTM layers and attention layers to predict content categories.


Quantifying political lean
One of the less emphasized contributions in this research is our use of foot traffic data from Safegraph to quantify brands’ customers’ political lean. By using store level customers’ origin census block groups, we were able to weight the county level 2016 (and 2020) presidential election outcomes across customers’ home locations to compute brand-level political lean. Interestingly, nearly half the brands in our sample participating in Blackout Tuesday were brands with more Republican customers. The figure below summarizes brands’ political lean and online/offline concurrent tactics and historical strategies.
